Table of Contents:    32X Introduction and System Features 32X Hardware Information  32X Hardware Manual 
Hardware Specifications   Supplement 1
32X Development Tools Overview   Supplement 2
32X Software Library    
32X Graphics Development Environment     
32X Sound Development Environment    
32X Hardware Manual    
32X Sample Disk 32X Development Equipment 32X Sound Tool Package
32X Technical Info IC BD 32M Tone Editor Ver 1.0
Attachment 1 IC BD 4M MIDI Converter Ver 1.30
  IC BD 16M Sound Simulator Ver 1.0
    68000 Sound Driver Ver. 3.0
    PWM Driver Ver. 1.06
    Changes in Version Upgrade


32X Introduction and System Features
Title Page
Page 2 - Introduction, System Features
Page 3 - GSX Block Diagram  (horizontal)


Hardware Specifications
Title Page
Page 5 - GSX Hardware Specifications
Page 6 - Fig. 1 32X Hardware Configuration
Page 7 - SH2
Page 8 - RAM, Frame Buffer, Video
Page 9 - Audio


32X Development Tools Overview
Title Page
Page 11 - Hardware, Software
Page 12 - Stand-Alone System  (horizontal)


32X Software Library
Title Page
Page 15 - 32X Software Library


32X Graphics Development Environment
Title Page
Page 17 - Data Format Support
Page 18 - 2D Development, 3D Development
Page 19 - Hardware Requirements
Page 20 - Software Requirements - Simple Painter
Page 21 - Software Requirements - Simple Animator
Page 22 - Software Requirements - Simple 3D Editor, SEGA Converter


32X Sound Development Environment
Title Page
Page 24 - GSX Sound Control Plan, PWM Sound Driver
Page 25 - GSX SDE - Sound Program Development Layout, Sound/Music Composition
Page 26 - GSX SDE - Program Development


32X Hardware Manual
Title Page
Page 29 - MD Memory Map
Page 30 - MD Memory Map
Page 31 - SH2 Memory Map
Page 32 - SH2 Memory Map
Page 33 - Interrupt Levels, DMA
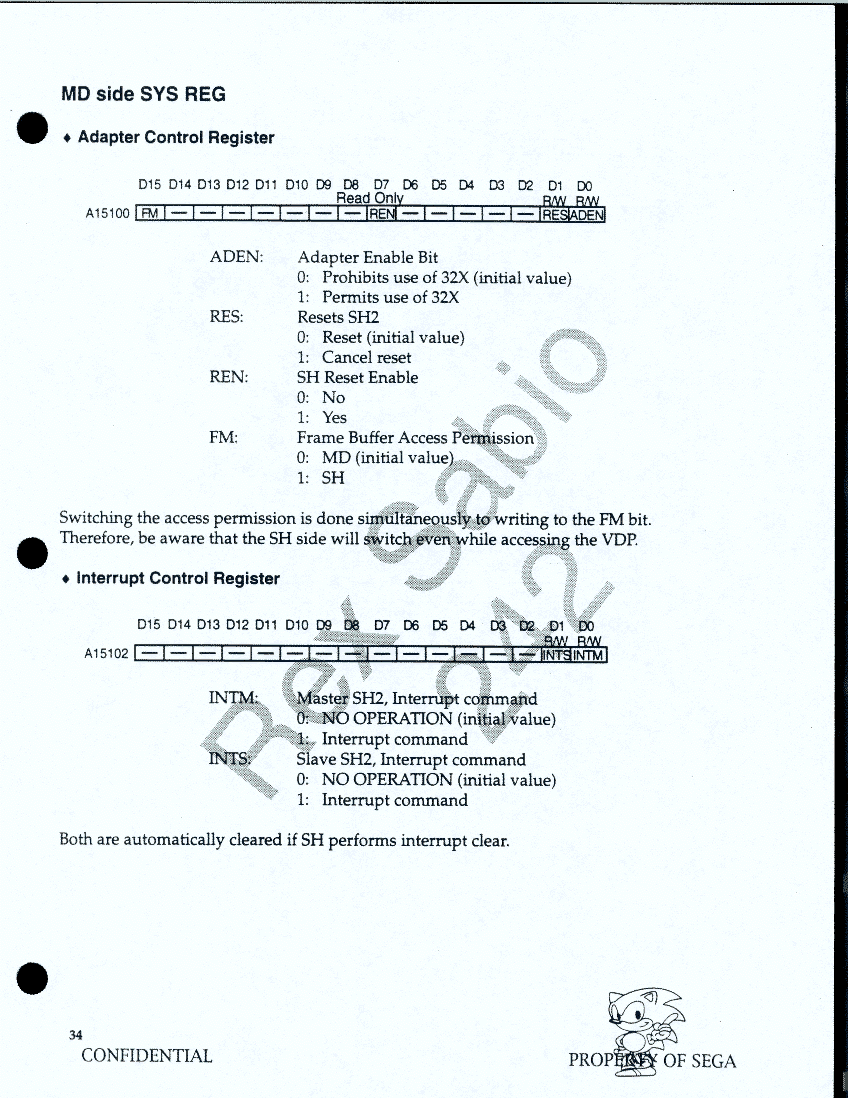
Page 34 - MD side SYS REG - Adapter Control Register, Interrupt Control Register
Page 35 - MD side SYS REG - Bank Set Register, DREQ Control Register
Page 36 - MD side SYS REG - 68 TO SH Source Address, 68 TO SH DREQ Destination Address, 68 TO SH DREQ Length
Page 37 - MD side SYS REG - FIFO, SEGA TV Register, Communications Port
Page 38 - MD side SYS REG - PWM Control, Cycle Register
Page 39 - MD side SYS REG - L ch Pulse Width Register, R ch Pulse Width Register, Mono Pulse Width Register
Page 40 - SH side SYS REG - Interrupt Mask
Page 41 - SH side SYS REG - Stand By Change, H Count, DREQ Control Register, 68 TO SH DREQ Source Address
Page 42 - SH side SYS REG - 68 TO SH DREQ Destination Address, 68 TO SH DREQ Length, FIFO, VRES Interrupt Clear, V Interrupt Clear
Page 43 - SH side SYS REG - H Interrupt Clear, CMD Interrupt Clear, PWM Interrupt Clear, Communications Port
Page 44 - SH side SYS REG - PWM Control, Cycle Register, L Pulse Width Register, R Pulse Width Register, Mono Pulse Width Register
Page 45 - VDP REG MD and SH Common - Bit Map Mode, Packed Pixel Control
Page 46 - VDP REG MD and SH Common - Auto Fill Length, Auto Fill Start Address, Auto Fill Data
Page 47 - VDP REG MD and SH Common - Frame Buffer Control
Page 48 - VDP - Data Format
Page 49 - VDP - Priority, DRAM (Frame Buffer) MAP, Surface Shift Control
Page 50 - VDP - Auto Fill
Page 51 - Precautions Concerning VDP
Page 52 - Access Time Table
Page 53 - Precautions When Using SH2 ICE

*

32X H/W Information
Title Page
Page 1 - General Target Items
Page 2 - Target Ver. 1.0 Items
Page 3 - Target Ver. 1.0 Items
Page 4 - Target Ver. 1.0 Items
Page 5 - Target Ver. 1.0 Items
Page 6 - Items Related to ICE and Peripherals Development Devices
Page 7 - Modification Method of the 32 Mbit SRAM w/BUP Board
Page 8 - Modification Method of the 16 Mbit SRAM w/BUP Board

*

32X Hardware Manual
Title Page
History
Introduction, Manual Configuration
Terminology
Contents
Contents
Page  1 - Chapter 1 - Introduction
Page  3 - 1.1 Introduction to 32X
Page  5 - Chapter 2 - Configuration
Page  7 - 2.1 32X Block Diagram
Page  8 - 2.2 About the 32X Block - MEGA Drive I/F Component, 32X Cartridge Component, SH2 Component
Page  9 - 2.2 About the 32X Block - SDRAM Component, Frame Buffer Component, VDP Component
Page 10 - 2.2 About the 32X Block - Color Palette Component, PWM Component
Page 11 - Chapter 3 - Function
Page 13 - 3.1 Mapping - MEGA Drive Memory Map
Page 14 - 3.1 Mapping - ROM Access When Using the 32X, Access to the 32X VDP
Page 15 - 3.1 Mapping - SH2 Memory Map
Page 16 - 3.1 Mapping - Cache Area Access, Cartridge ROM Access, 32X VDP Access
Page 17 - 3.2 Registers
Page 18 - 3.2 Registers
Page 19 - 3.2 System Registers - Mega Drive Side - Using the 32X
Page 20 - 3.2 System Registers - Mega Drive Side - Interrupt Issued for SH2, Switches ROM Cartridge Bank
Page 21 - 3.2 System Registers - Transfers Data to SH2 DMAC
Page 22 - 3.2 System Registers - Mega Drive Side - Interrupt Issued for SH2, Switches ROM Cartridge Bank
Page 23 - 3.2 System Registers - Mega Drive Side - Refresh Signal Output to Cartridge, Communication in Both Directions with SH2
Page 24 - 3.2 System Registers - Mega Drive Side - PWM Sound Source Control
Page 25 - 3.2 System Registers - Mega Drive Side - PWM Sound Source Control
Page 26 - 3.2 System Registers - SH2 Side - Interrupt Control for SH2
Page 27 - 3.2 System Registers - SH2 Side - Interrupt Control for SH2
Page 28 - 3.2 System Registers - SH2 Side - Interrupt Control for SH2
Page 29 - 3.2 System Registers - SH2 Side - Interrupt Control for SH2
Page 30 - 3.2 System Registers - SH2 Side - Activating the 32X Custom Component, Receiving MEGA Drive Data by SH2 DMAC
Page 31 - 3.2 System Registers - SH2 Side - Communications in Both Directions with 68000
Page 32 - 3.2 System Registers - SH2 Side - PWM Sound Source Control
Page 33 - 3.2 System Registers - SH2 Side - PWM Sound Source Control
Page 34 - 3.2 System Registers - SH2 Side - VDP Registers - Display Mode Section
Page 35 - 3.2 System Registers - SH2 Side - VDP Registers - Frame Buffer Switching
Page 36 - 3.2 System Registers - SH2 Side - VDP Registers - Screen Shift, Data Fill for Frame Buffer
Page 37 - 3.3 VDP
Page 38 - 3.3 VDP - Display Mode
Page 39 - 3.3 VDP - Display Mode - VDP Configuration
Page 40 - 3.3 VDP - Display Mode - Over Write Image, Switching Frame Buffers
Page 41 - 3.3 VDP - Display Mode - Frame Buffer Switch and Animation Display
Page 42 - 3.3 VDP - Display Mode - Color Palette
Page 43 - 3.3 VDP - Display Mode - Over Write Image
Page 44 - 3.3 VDP - Display Mode - Overview of Display Specifications
Page 45 - 3.3 VDP - Line Table Format
Page 46 - 3.3 VDP - Priority
Page 47 - 3.3 VDP - Direct Color Mode
Page 48 - 3.3 VDP - Packed Pixel Mode
Page 49 - 3.3 VDP - Packed Pixel Mode - Screen Shift Control
Page 50 - 3.3 VDP - Run Length Mode
Page 51 - 3.3 VDP - FILL Function
Page 52 - 3.3 VDP - Clock Used by the 32X
Page 53 - 3.3 VDP - HBlank and Display Periods, VBlank and Display Periods
Page 54 - 3.3 VDP - VDP Register Latch Timing
Page 55 - 3.4 PWM - PWM Sound Source
Page 56 - 3.4 PWM - Functions of 32X PWM, Creating Wave Form Data
Page 57 - 3.4 PWM - Cycle and Pulse Width Settings
Page 58 - 3.5 SH2
Page 59 - 3.5 SH2
Page 60 - 3.5 SH2 - Master and Slave
Page 61 - 3.5 SH2 - Cache - Cache Specifications
Page 62 - 3.5 SH2 - Cache - Cache Overview
Page 63 - 3.5 SH2 - Cache - Cache After Implementing BOOT ROM, Purge (Cache Initialization)
Page 64 - 3.5 SH2 - DMA
Page 66 - 3.5 SH2 - Master-Slave Communication
Page 67 - 3.5 SH2 - 68000-SH2 Communication
Page 68 - 3.5 SH2 - 68000-SH2 Communication
Page 69 - 3.5 SH2 - Interrupt
Page 71 - Chapter 4 - 32X Block Access
Page 73 - 4.1 32X Block Access by SH2
Page 74 - 4.1 32X Block Access by SH2
Page 75 - 4.2 32X Block Access by 68000
Page 76 - 4.3 32X Block Access by Z80
Page 77 - 4.4 32X Access Timing to Each CPU to 32X Block
Page 78 - 4.4 32X Access Timing to Each CPU to 32X Block
Page 79 - Chapter 5 - Other
Page 81 - 5.1 BOOT ROM - Initial Data Load
Page 82 - 5.1 BOOT ROM - Mega Drive and SH2 Synchronization
Page 83 - 5.1 BOOT ROM - BOOT ROM Flow Chart (Slave)
Page 84 - 5.2 Security - Initial Program, Security
Page 85 - 5.2 Security - Included in the Initial Program
Page 86 - 5.3 Restrictions
Page 87 - 5.3 Restrictions - Precautions When Using 32X SH2 (SH7095)
Page 88 - 5.3 Restrictions - Precautions When Using 32X SH2 (SH7095)
Page 89 - 5.3 Restrictions - Restrictions Concerning SH2 Interrupt
Page 90 - Index
Page 91 - Index
Page 92 - Index


32X Hardware Manual Supplement 1
Title Page
Page 1 - 1. About the 32X System Register
Page 2 - 2. About FIFO
Page 3 - 2. About FIFO
Page 4 - 3. About VDP Access
Page 5 - Block Diagram of SH2, 68000, I/F Chip and VDP Chip


32X Hardware Manual Supplement 2
Title Page
Page 1 - Limitations Concerning the SH2 Interrupt, Corrective Action, Precautions
Page 2 - Precautions
Page 3 - Precautions
Page 4 - Interrupt Correction Sample Program
Page 5 - Interrupt Correction Sample Program
Page 6 - Interrupt Correction Sample Program
Page 7 - Interrupt Correction Sample Program

*

32X Sample Disk
Title Page
Page 1 - About the Super 32X Sample File
Page 2 - About the Super 32X Sample File


32X Technical Information
Title Page
Page 1
Page 2
Page 3
Page 4
Page 5
Page 6


32X Technical Information Attachment 1
Title Page
Page 1
Page 2
Page 3
Page 4
Page 5
Page 6
Page 7

*

32X Development Equipment and Materials Menu
Title Page
Page 1
Page 2
Page 3
Page 4


IC BD 32M SRAM + 256K BUP 32X R/D
Title Page
Page 1 - 1.0 Overview
Page 2 - 2.0 Main Specifications
Page 3 - 3.0 Description of Functions
Page 4 - 3.0 Description of Functions
Page 5 - 3.0 Description of Functions
Page 6 - 3.1 Using the 16 Mbit ROM Mode + Backup RAM
Page 7 - 3.2 Card Switch Settings, 3.3 Switch Settings
Page 8 - 3.4 Status Display Function Using LEDs
Page 9 - 4.0 View


IC BD 4M 32 PIN * 8 EPROM 32X R/D
Title Page
Page 1 - 1.0 Overview
Page 2 - 2.0 Main Specifications
Page 3 - 3.0 Description of Functions
Page 4 - 3.0 Description of Functions
Page 5 - 3.0 Description of Functions
Page 6 - 3.1 Using the 16 Mbit ROM Mode + Backup RAM
Page 7 - 3.2 Setting Switches with the Card, 3.3 Switch Descriptions
Page 8 - 4.0 EPROM Mounting
Page 9 - 4.0 View


IC BD 16M 42 PIN * 4 EPROM 32X R/D
Title Page
Page 1 - 1.0 Overview
Page 2 - 2.0 Main Specifications
Page 3 - 3.0 Description of Functions
Page 4 - 3.0 Description of Functions
Page 5 - 3.0 Description of Functions
Page 6 - 3.1 Using the 16 Mbit ROM Mode + Backup RAM
Page 7 - 3.2 Setting Switches on the Card
Page 8 - 3.3 Description of Each Switch
Page 9 - 4.0 EPROM Mounting
Page 10 - 5.0 View

*

32X Sound Tool Package
Title Page
Page 1 - Introduction
Page 2 - Table of Contents
Page 3 - Hardware Configuration and the Required Preparations
Page 4 - Hardware Configuration and the Required Preparations
Page 5 - Hardware Configuration and the Required Preparations
Page 6 - Hardware Configuration and the Required Preparations
Page 7 - Software Configuration and the Required Preparations
Page 8 - Software Configuration and the Required Preparations
Page 9 - Qsound
Page 10 - Overview of the 32X Sound Tool
Page 11 - Overview of the 32X Sound Tool


Tone Editor Ver. 1.0
Title Page
Page 1 - Table of Contents
Page 2 - Overview
Page 3 - 1. MIDI Settings
Page 4 - 1. MIDI Settings
Page 5 - 1. MIDI Settings
Page 6 - 2. FM Parameters
Page 7 - 2. FM Parameters
Page 8 - 2. FM Parameters
Page 9 - 3. Table Envelope
Page 10 - 3. Table Envelope
Page 11 - 4. Table Vibrato
Page 12 - 5. Velocity Table
Page 13 - 6. FM Drum Kit
Page 14 - 7. PWM (for Super 32X)
Page 15 - 7. PWM (for Super 32X)
Page 16 - 7. PWM (for Super 32X)
Page 17 - 8. PCM
Page 18 - 8. PCM


MIDI Converter Ver.-1.30
Title Page
Page 1 - Table of Contents
Page 2 - Introduction
Page 3 - 1. Midi2Bin32X
Page 4 - 1. Midi2Bin32X
Page 5 - 1. Midi2Bin32X
Page 6 - 1. Midi2Bin32X
Page 7 - 1. Midi2Bin32X
Page 8 - 2. SeConv32X
Page 9 - 2. SeConv32X
Page 10 - 3. Midi2Txt32X
Page 11 - MIDI Data Format Tables
Page 12 - MIDI Messages
Page 13 - Control Change
Page 14 - System Exclusive
Page 15 - System Exclusive
Page 16 - System Exclusive


32X Sound Simulator Ver. 1.0
Title Page
Page 1 - Table of Contents
Page 2 - Overview and Glossary
Page 3 - Activation Method, Mapping
Page 4 - Mapping
Page 5 - Mapping
Page 6 - Mapping
Page 7 - Detailed Description of Functions
Page 8 - 1. File
Page 9 - 1. File
Page 10 - 1. File
Page 11 - 1. File
Page 12 - 2. Edit
Page 13 - 2. Edit
Page 14 - 2. Edit
Page 15 - 2. Edit, 3. Systems
Page 16 - 4. Map, 5. Display
Page 17 - 6. Function
Page 18 - 6. Function
Page 19 - 6. Function
Page 20 - 6. Function
Page 21 - Helpful Hints and Technical Information
Page 22 - Error Listings
Page 23 - Error Listings


68000 Sound Driver Ver. 3.00
Title Page
Page 1 - Introduction, Sound Driver Specifications, Activiating the Sound Driver
Page 2 - Memory Map, RAM Memory Map, Fill-In Data
Page 3 - Fill-In Data
Page 4 - System Calls
Page 5 - System Calls
Page 6 - Details on System Calls
Page 7 - Details on System Calls
Page 8 - Details on System Calls
Page 9 - Details on System Calls
Page 10 - Data Request Numbers
Page 11 - Sound Data
Page 12 - Sound Data
Page 13 - Sound Data
Page 14 - Sound Data
Page 15 - Details of Sequence Commands
Page 16 - Details of Sequence Commands
Page 17 - Details of Sequence Commands
Page 18 - Details of Sequence Commands
Page 19 - Details of Sequence Commands
Page 20 - Details of Sequence Commands
Page 21 - Identifying Sound Sources, Notes
Page 22 - Notes


PWM Driver Ver. 1.06
Title Page
Page 1
Page 2
Page 3
Page 4
Page 5


Changes In Version Upgrade
Title Page
Page 1
Page 2